拉曼光谱(Raman Spectroscopy)是一种基于拉曼散射原理的光谱分析技术。拉曼散射是光子与物质分子发生非弹性散射的过程、光子与分子相互作用后、散射光子的能量发生变化、这种能量的变化反映了分子振动、旋转等内部运动的信息。
拉曼光谱的基本原理是拉曼效应(Raman Effect)、这一效应由印度物理学家C.V.拉曼于1928年发现并以其名字命名。当入射光子(通常为单色光,如激光)照射到样品时、大部分光子会发生弹性散射(瑞利散射)、其频率与入射光相同。但少部分光子与样品分子的振动或旋转能级相互作用、导致散射光子的能量发生变化、产生频率不同于入射光的散射光、这种现象即为拉曼散射。[1]
拉曼光谱通过测量这些频率的变化(即拉曼位移)、可以得到样品的分子振动和旋转信息、从而对分子的结构和成分进行分析。
拉曼光谱在科学研究和工业应用中具有重要作用、主要包括以下几个方面¦
1. 分子识别和结构分析¦拉曼光谱可以提供关于分子振动模式的信息、这对于识别分子和确定其化学结构非常有用。每种分子都有其特定的拉曼光谱、可以视作分子的“指纹”。
2. 材料科学研究¦拉曼光谱用于研究材料的晶体结构、缺陷、应力/应变状态等。例如、石墨烯和碳纳米管的拉曼光谱可以揭示其层数、质量和导电性。
3. 化学反应监测¦通过实时监测化学反应过程中分子结构的变化、拉曼光谱可以用于研究反应机理、反应速率和反应路径。
4. 生物医学应用¦拉曼光谱能够无损检测生物组织和细胞、应用于疾病诊断、药物研究和生物标志物的检测。例如、用于癌症细胞的检测和分类。
5. 环境监测¦拉曼光谱可以检测和分析环境中的污染物、如水中的重金属离子、空气中的有害气体等。
6. 工业过程控制¦在制药、石化等行业中、拉曼光谱用于在线监测和控制生产过程中的化学成分、确保产品质量。
在低温/变温条件下进行拉曼光谱测试的好处有:提高光谱分辨率、在低温环境下、分子的热运动显著减少、从而使拉曼散射光谱中的谱线变得更窄、更清晰;减少荧光干扰、低温能够抑制荧光过程、显著降低荧光背景、从而提高拉曼信号的可见性和检测灵敏度;增强信噪比、低温环境能够降低热噪声、提升信噪比;研究量子效应、低温环境下、量子效应变得更加显著、特别是在固态物理和纳米材料研究中、低温拉曼光谱能够揭示量子点、纳米管等材料中的量子效应和声子行为、提供关于其电子结构和光学性质的重要信息……
所以、拉曼光谱在化学与材料科学、生命科学与医学、环境科学、食品科学、艺术与考古以及工业应用等领域有广泛应用。包括纳米材料、高分子材料、半导体、疾病诊断、药物研究、水质分析、大气监测、土壤分析、质量控制、食品安全等。工业应用包括过程监控和产品质量检测。
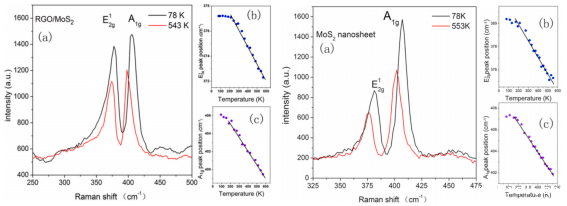
以二维材料的低温拉曼光谱测试为例、随着纳米科技的飞速发展、二维材料因其独特的物理性质和广泛的应用前景、已成为材料科学研究的热点。其中、二维过渡金属二硫族化合物(TMDs)如MoS2、以其优异的电学、光学和热学性能、在纳米电子器件领域展现出巨大的潜力。Pengfei Shen等人[2]通过水热法成功合成介绍的MoS2/还原氧化石墨烯(RGO)异质结构、具有紧密的二维异质界面。这种结构不仅保留了MoS2和RGO各自的优异性能、还通过界面效应产生了新的物理特性。这种异质结构为纳米电子器件的发展提供了新的可能。然而、为了充分理解并优化这些材料的性能、我们需要深入理解其在不同温度和激光功率下的行为。为此、拉曼光谱与低温设备HCS的联用方案为我们提供了强大的工具、具体方案如图1所示。
图1 HCS与拉曼光谱联用测试系统
如图2所示、显示了78K和543K下单层MoS2和MoS2/RGO混合物的拉曼光谱。在不同温度下记录了MoS2/RGO混合物和单层MoS2纳米片的振动峰值。随着温度的升高、E12g和A1g振动峰位的红移呈现出线性依赖性。在低温下、峰位的变化表现出偏离线性温度依赖性的趋势。本文使用以下方程对数据进行拟合、并提取了两个样本的E12g和A1g模式温度系数。这些系数可用于进一步研究材料在不同温度下的热力学和动力学性质。

图2 78K和543K下单层MoS2和MoS2/RGO混合物的拉曼光谱
为实现低温/变温场景的测试、通过优米体育直播在线观看免费下载(HCS-1L)和拉曼光谱仪的光路匹配设计、保持原有光学测试的完整性、匹配原有的样品运动平台、又实现样品在78-800K的可控范围内。b70优米app主页 技术可提供全套解决方案!
优米体育直播在线观看免费下载(HCS-1L)是能够提供很好的温度梯度和高稳定性的温度场、具有78--800K的宽温度范围、0.1K的高精度控温等特性、并可以为客户设计定制化样品台、匹配客户检测设备、可实现在低温下或变温下电学、磁学、电磁学、光学、光电学、热力学、力学、声学等性能测试。
[1] Yin P, Lin Q, Duan Y. Applications of Raman spectroscopy in two-dimensional materials[J]. Journal of Innovative Optical Health Sciences, 2020, 13(05): 2030010.
[2] Shen P, Yang X, Du M, et al. Temperature and laser-power dependent Raman spectra of MoS2/RGO hybrid and few-layered MoS2[J]. Physica B: Condensed Matter, 2021, 604: 412693.



